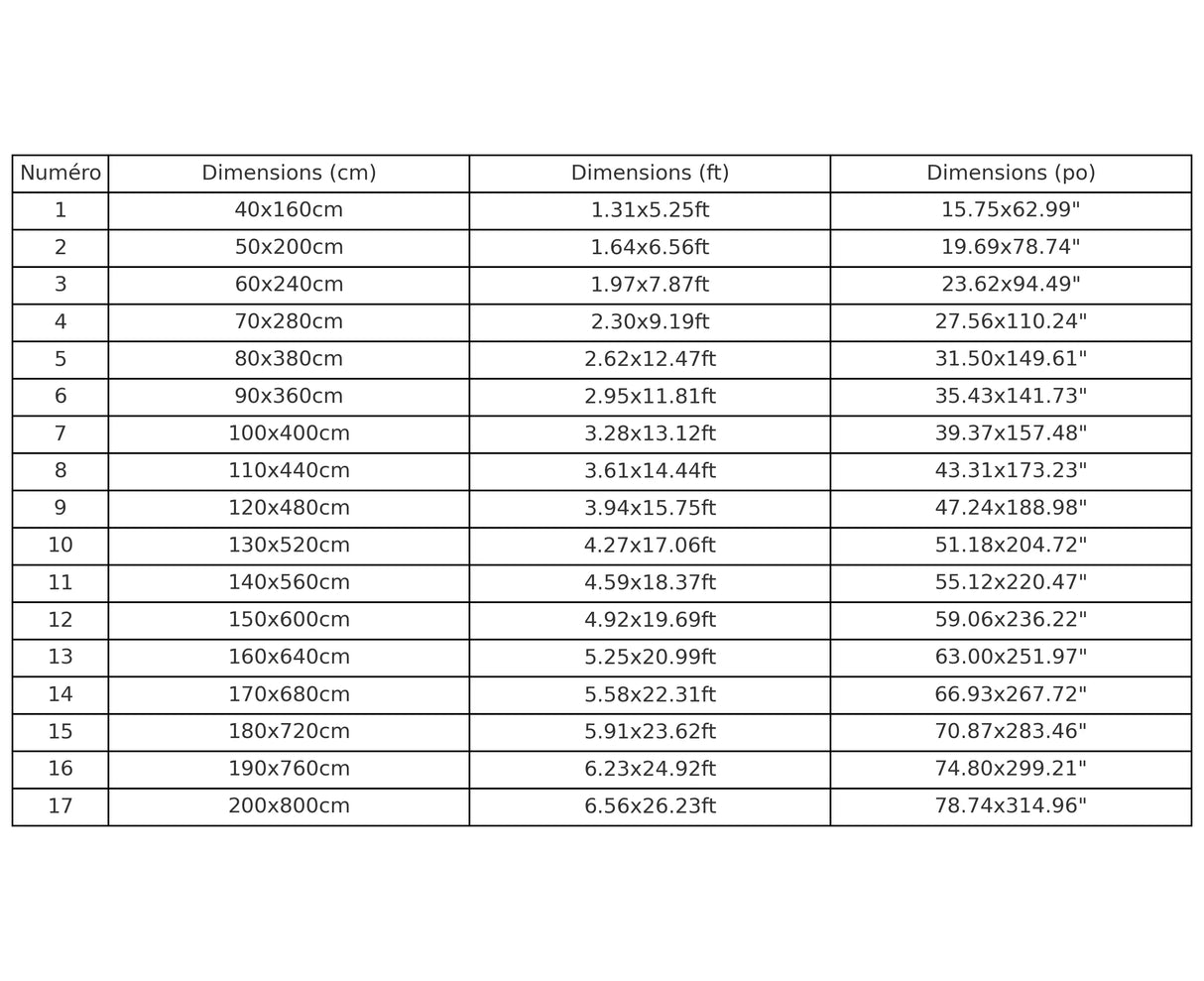
Bandera de la República Democrática del Congo con 10 ojales en varios tamaños
Precio normal
42,96€
Precio unitario
/
Agotado
Bandera de la República Democrática del Congo con 10 ojales en varios tamaños - 100 x 400 centímetros está agotado y se enviará tan pronto como vuelva a estar disponible.
Personalizar
No se ha podido cargar la disponibilidad de recogida
- Material: poliéster duradero
- Ojales: 10 ojales reforzados para una fijación fácil y segura
- Proceso de impresión: Transferencia térmica digital para colores vibrantes y duraderos
- Bandera de la República Democrática del Congo con 10 ojales en varios tamaños
Avis clients
0,0/5
(0 avis)
Le traitement de votre commande est de 3 à 5 jours ouvrés avant expédition.


