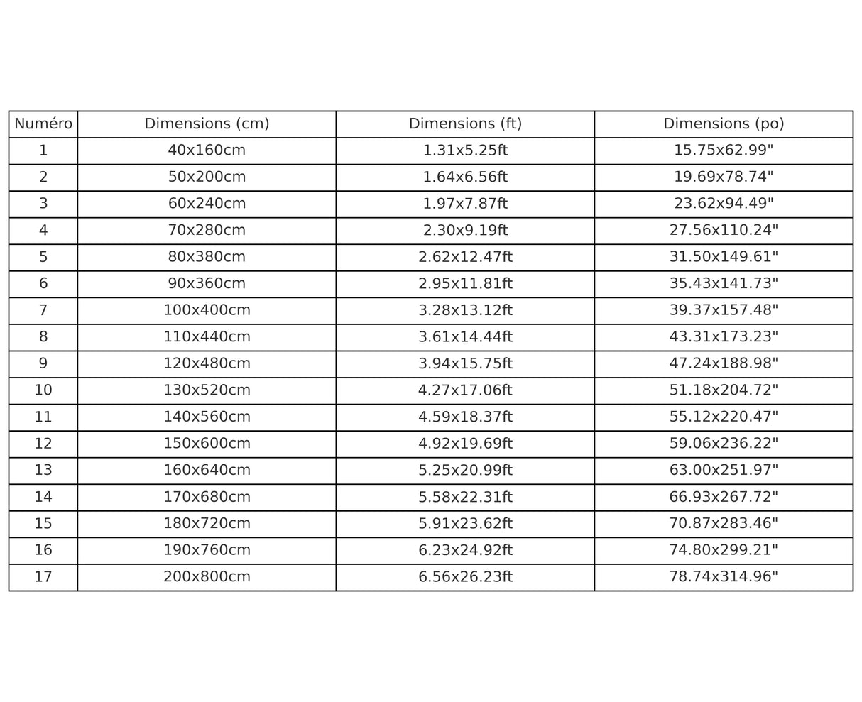
Bandera de la República Popular China 10 ojales en varios tamaños
Vendu par Pixelforma
Precio normal
42,96 €
Precio unitario
/
Agotado
Bandera de la República Popular China 10 ojales en varios tamaños - 100 x 400 centímetros está agotado y se enviará tan pronto como vuelva a estar disponible.
Descripción
Descripción
- Material: poliéster duradero
- Ojales: 10 ojales reforzados para una fijación fácil y segura
- Proceso de impresión: Transferencia térmica digital para colores vibrantes y duraderos
- Bandera de la República Popular China 10 ojales en varios tamaños
Información de cuidado
Información de cuidado
Muestre información general del producto o información específica del producto mediante metacampos.


