Sobre nosotros Más información

Bandera de Wyoming - Talla XL - 10 ojales - Poliéster resistente

Precio normal 42,96€


Personalizar

Bandera de Wyoming de poliéster con 8 ojales - Talla XL

Material duradero: hecha de poliéster de alta calidad, esta bandera está diseñada para resistir los elementos y conservar su vitalidad incluso con un uso prolongado.

Ojetes reforzados: Equipado con 8 ojales de acero inoxidable , garantizando una fácil fijación y una óptima resistencia a la tensión y a la intemperie.

Proceso de impresión avanzado: Impresión por transferencia térmica digital, que proporciona patrones nítidos y colores vibrantes para un atractivo visual excepcional.

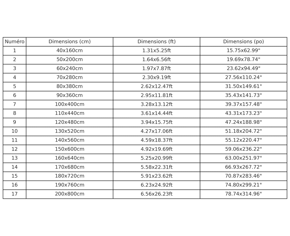
Formato estándar para tamaño XL: Esta bandera forma parte del formato XL. Las dimensiones son uniformes en esta categoría para una consistencia óptima.

Otros formatos disponibles:

Si desea una bandera más ancha o más estrecha, explore nuestras otras tallas: Talla M, L o XL , adecuadas para satisfacer diferentes necesidades y espacios.