Bandera de San Marino 10 ojales en varios tamaños
Bandera de San Marino 10 ojales en varios tamaños - 100 x 400 centímetros está agotado y se enviará tan pronto como vuelva a estar disponible.
No se ha podido cargar la disponibilidad de recogida
Bandera de San Marino de poliéster con 8 ojales, talla XL
Material duradero: hecha de poliéster de alta calidad, esta bandera está diseñada para resistir los elementos y conservar su vitalidad incluso con un uso prolongado.
Ojetes reforzados: Equipado con 8 ojales de acero inoxidable , garantizando una fácil fijación y una óptima resistencia a la tensión y a la intemperie.
Proceso de impresión avanzado: Impresión por transferencia térmica digital, que proporciona patrones nítidos y colores vibrantes para un atractivo visual excepcional.
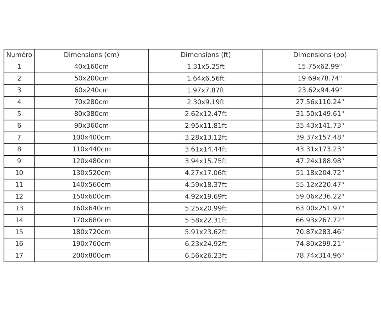
Formato estándar para tamaño XL: Esta bandera forma parte del formato XL. Las dimensiones son uniformes en esta categoría para una consistencia óptima.
Otros formatos disponibles:
Si desea una bandera más ancha o más estrecha, explore nuestras otras tallas: Talla M, L o XL , adecuadas para satisfacer diferentes necesidades y espacios.
Avis clients
Le traitement de votre commande est de 3 à 5 jours ouvrés avant expédition.


