Flaga Wspólnoty Narodów – rozmiar XL – 10 przelotek – wytrzymały poliester
Flaga Wspólnoty Narodów – rozmiar XL – 10 przelotek – wytrzymały poliester - 100 x 400 cm est en rupture de stock et sera expédié dès qu’il sera de retour en stock.
Impossible de charger la disponibilité pour le Service de retrait
Flaga Wspólnoty Narodów 8 przelotek poliestrowych – rozmiar XL
Trwały materiał: Wykonana z wysokiej jakości poliestru, flaga ta została zaprojektowana tak, aby wytrzymać działanie warunków atmosferycznych i zachować swój blask nawet przy dłuższym użytkowaniu.
Wzmocnione przelotki: Wyposażona w 8 przelotek ze stali nierdzewnej, co zapewnia łatwe mocowanie i optymalną odporność na naprężenia i warunki atmosferyczne.
Zaawansowany proces drukowania: Cyfrowy druk termotransferowy oferuje ostre wzory i żywe kolory, dając wyjątkowy efekt wizualny.
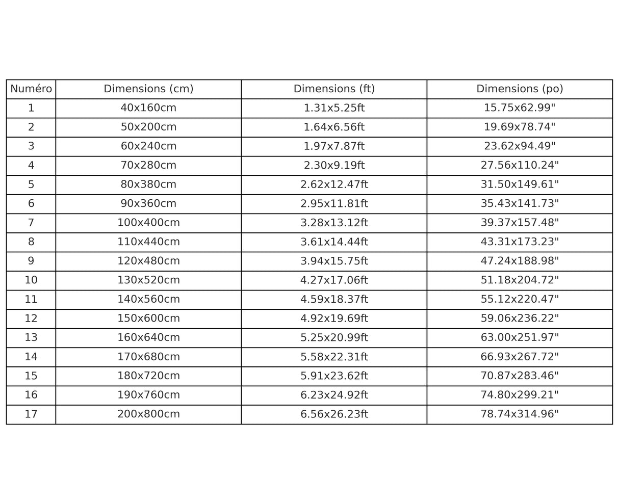
Standardowy format rozmiaru XL: Ta flaga jest częścią formatu rozmiaru XL. Wymiary są spójne w obrębie tej kategorii, co zapewnia optymalną spójność.
Dostępne są również inne rozmiary:
Jeśli potrzebujesz szerszej lub węższej flagi, sprawdź nasze inne rozmiary: Rozmiar M, L lub XL, które spełnią różne potrzeby i zapewnią optymalną spójność.
Avis clients
Le traitement de votre commande est de 3 à 5 jours ouvrés avant expédition.


