Drapeau du Paraguay – Taille XL – 10 Œillets – Polyester Résistant
Drapeau du Paraguay – Taille XL – 10 Œillets – Polyester Résistant - 100 x 400 cm est en rupture de stock et sera expédié dès qu’il sera de retour en stock.
Impossible de charger la disponibilité pour le Service de retrait
Drapeau Drapeau du Paraguay 8 Œillets en Polyester – Taille XL
Matériau durable : Fabriqué en polyester de haute qualité, ce drapeau est conçu pour résister aux intempéries et conserver son éclat, même en usage prolongé.
Œillets renforcés : Équipé de 8 œillets en acier inoxydable, garantissant une fixation facile et une résistance optimale face aux tensions et aux intempéries.
Processus d'impression avancé : Impression par transfert thermique numérique, offrant des motifs nets et des couleurs vibrantes pour un rendu visuel exceptionnel.
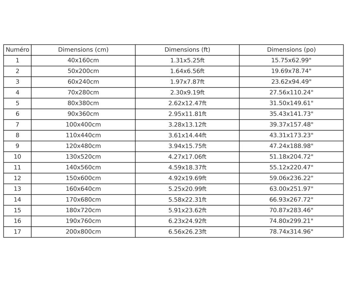
Format standard pour la Taille XL : Ce drapeau fait partie du format Taille XL. Les dimensions sont uniformes au sein de cette catégorie pour une cohérence optimale.
Autres formats disponibles :
Si vous souhaitez un drapeau plus large ou plus étroit, explorez nos autres formats : Taille M, L ou XL, adaptés pour répondre à différents besoins et espaces.
Avis clients
Le traitement de votre commande est de 3 à 5 jours ouvrés avant expédition.